DDVP

Active ingredient and its content: DDVP 77.5%(gas chromatography)
Formulation: emulsifiable concentrate
DDVP, with the chemical name of 2,2-Dichlorovinyl dimethyl phosphate, is an organic compound with the chemical formula of C4H7Cl2O4P. It belongs to organophosphorus insecticide. All industrial products are colorless to light brown liquid with high volatility. The solubility in water at room temperature is 1%, and the solubility in kerosene is 2%~3%. It can be dissolved in organic solvent, easily hydrolyzed, and decomposed faster in case of alkali.
Synonyms: O, O-dimethyl-O-(2,2-dichlorovinyl) phosphate
English name: DDVP
CAS: 62-73-7
EINECS: 200-547-7
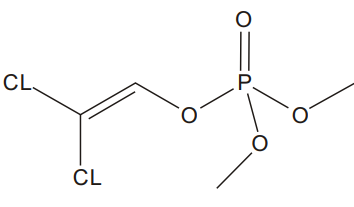
Chemical formula: C4H7Cl2O4P
Molecular weight: 220.98
Structural formula:

Scope and method of use:
| Crop/Site | Control object | Dosage (amount of formulation/667sqm) | Application mode |
| hygiene | multiple sanitary pests | 1. 300-400 times of solution 2. 0.1 ml/m3 | 1. Sprinkle 2. Hanging strip fumigation |
| wheat | aphid | 50 ml/667sqm | spray |
| apple tree | leaf roller | 1600-2000 double solution | spray |
| apple tree | aphid | 1600-2000 double solution | spray |
| mulberry | geometrid | 50 ml/667sqm | spray |
| wheat | armyworm | 50 ml/667sqm | spray |
| granary | multiple stored pests | 1. 400-500 times of solution 2. 0.5-0.63 ml/m3 | 1. Spray 2. Hanging strip fumigation |
| cotton | Bridgebuilder | 50-100 mL/667sqm | spray |
| tea tree | defoliator | 50 ml/667sqm | spray |
| cotton | aphid | 50-100 mL/667sqm | spray |
| green vegetable | Pieris rapae | 50 ml/667sqm | spray |
-
Next: None
-
Next: Dipterex